Area of a Semicircle Formula
Because a semicircle is exactly half of a circle, then the area of semicircle must be exactly half that of the area of a circle. By the way, the prefix semi- means half.
That means, if the area of a circle is
[latex]\large{A = \pi {r^2}}[/latex]
Then the area of the semicircle can be calculated by dividing the area of the circle by [latex]2[/latex]
[latex]\boxed{\large{{A_S} = \Large{{{\pi {r^2}} \over {\color{red}2}}}}}[/latex]
Geometrically, if we cut the circle along the diameter to obtain two halves, each half is a semicircle.

Examples of Finding the Area of a Semicircle
Example 1: What is the exact area of a semicircle with a radius of [latex]8[/latex] inches?
Since we are asked to find the exact area of the semicircle, we will leave our answer in terms of pi ([latex]\pi[/latex]). Also, the value of radius is given to us so we can directly substitute it into the formula.

Therefore, the area of the semicircle is [latex]32\pi [/latex] [latex]i{n^2}[/latex] (square inches).
Example 2: Calculate the approximate area of a semicircle having a diameter of [latex]2.4[/latex] feet. Use [latex]\pi = 3.14[/latex]. Round your answer to two decimal places.
We don’t know the value of the radius upfront, but we do know its diameter. To find the radius when the diameter is known, simply divide the diameter by [latex]2[/latex].

Thus, the radius is

Since we have found the value of the radius, we are now ready to find the area of the semicircle. Just replace [latex]r[/latex] with [latex]1.2[/latex] in the formula then simplify.

Thus, the area of the semicircle is about [latex]2.26[/latex] [latex]f{t^2}[/latex] (square feet).
Example 3: Find the area of the semicircle below in square centimeters ([latex]c{m^2}[/latex]). Note that [latex]1[/latex] in. = [latex]2.54[/latex] cm. Use [latex]\pi = 3.1416[/latex]. Round your answer to the nearest hundredth.

When solving math problems, remember that the devil is in the details, as the saying goes. In this case, the radius is given in terms of inches, but we have to express the area in terms of square centimeters. So the very first step that we must do is to convert inches into centimeters. Then, we plug the value into the semicircle formula to get the appropriate area.

The radius of the semicircle in centimeters is [latex]5.08[/latex]. Let’s substitute this into the formula to get the desired area.

Therefore, the area of the semicircle is about [latex]40.54[/latex] [latex]c{m^2}[/latex] (square centimeters).
Example 4: Determine the exact area of the semicircle as illustrated below.

There are a few ways to answer this problem. The first method is to realize that the endpoints of the diameter, radius, and center point of the semicircle can be easily described.
- We can use the distance formula using its endpoints to calculate the diameter’s length, then divide it by [latex]2[/latex] to get the radius’s value. Finally, use the semicircle formula to find its area by substituting the radius value. That is, the distance between points [latex]\bold{\color{green}A}[/latex] and [latex]\bold{\color{green}B}[/latex] is the diameter. Dividing it by [latex]2[/latex] is the measure of the radius which can be used to solve for the area of the semicircle.
- A much simpler way is to use the distance formula to determine the length between the center of the semicircle to one of its points. That is, the distance between the [latex]\bold{\color{red}red\,\, dot}[/latex] and to either points [latex]\bold{\color{green}A}[/latex] or [latex]\bold{\color{green}B}[/latex] is the measure of the radius.
However, we should have realized that the length of the radius can be figured out by inspection. Since the semicircle is placed in a grid, we can count how many units are there from the center to either of the two points (A or B).
Take a look at the illustration below. In fact, the radius’ length is [latex]\color{red}4[/latex] units.

Now, let’s plug the value of the radius into the formula to calculate the area of the semicircle.

The exact area of the semicircle is [latex]8\pi[/latex] square units.
Example 5: Calculate the area of the semicircle below. Use [latex]\pi = 3.1416[/latex]. Round your answer to the nearest hundredth.

The points [latex]A[/latex], [latex]B[/latex], and [latex]C[/latex] lie on a slanted line. Therefore, it is harder to count by inspection how many units apart are the points on the XY-plane. This is where the distance formula will come in handy.
To find the radius of the semicircle, let’s calculate the distance between the points [latex]C[/latex] and [latex]A[/latex] or [latex]C[/latex] and [latex]B[/latex]. Just to show that it doesn’t matter which one we choose, we will do both.
Here’s the distance between points [latex]C[/latex] and [latex]A[/latex]. But first, these are the coordinates of the points in question.
[latex]C:\left( {5,1} \right)[/latex] [latex][/latex]
[latex]A:\left( {2, – 3} \right)[/latex]

Now, this is the distance between points [latex]C[/latex] and [latex]B[/latex]. These are their coordinates.
[latex]C:\left( {5,1} \right)[/latex] [latex][/latex]
[latex]B:\left( {8,5} \right)[/latex]

We can now plug the value of the radius which is [latex]5[/latex] units into the formula to determine the area of the semicircle. Make sure to use the specified value of pi, which is [latex]\pi = 3.1416[/latex], and that we round to the closest hundredth.

The area of the semicircle is about [latex]39.27[/latex] square units.
Example 6: If the area of a semicircle is [latex]73.5[/latex] square meters, what is its radius? Use [latex]\pi=3.14[/latex]. Round your answer to the nearest tenth.
This problem is not too difficult. It’s all about the algebraic manipulation of the formula itself. So, if the formula to find the area of the semicircle is

We will need to isolate the radius which is [latex]\large{\color{red}r}[/latex]. To do, we multiply both sides by [latex]2[/latex].

Then divide both sides by pi [latex]\pi[/latex].

Finally, to solve for [latex]\large{\color{red}r}[/latex], take the square roots of both sides.
![r=sqrt[ (2A)/(pi) ]](https://www.chilimath.com/wp-content/uploads/2022/05/example-6-derive-radius-step-4.png)
Let’s use the derived to find the value of radius given the area of the semicircle.

The radius of the semicircle is about [latex]6.8[/latex] meters.
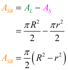
Example 7: Find the area of the shaded region. Use [latex]\pi=3.14[/latex]. Round your answer to the hundredth.

It may appear tough at first, but it is actually rather simple. The shaded area is simply the difference between the areas of the larger and smaller semicircles.

Let’s simplify the formula of the shaded region. We will use the uppercase R to signify the radius of the larger semicircle and the lowercase r for the smaller semicircle.
So, we subtract the area of the smaller semicircle from the larger semicircle. Notice that there is a common factor of [latex]\large{{\pi \over 2}}[/latex]. This leaves a much simpler formula with a difference between the square of the larger radius and the square of the smaller radius inside the parenthesis.

The only left to do is figure out what’s the lengths of the longer and shorter radii. By inspection, we can see that the shorter radius is [latex]4[/latex] units while the longer units is [latex]7[/latex] units.

Let’s substitute the values into the formula and then simplify it to find the area of the shaded region.

The area of the shaded region is about [latex]51.81[/latex] square units.
You might also like these tutorials: