Area of a Circle Formula
The area of a circle is the total amount of space enclosed by its boundary or circumference. There is no volume in a circle because it is a flat, two-dimensional shape. If you know the radius of a circle, you can easily find its area. As you can see, the radius of the circle is just the line segment from the center to any point on the boundary of the circle.
The area of a circle with radius [latex]\large{r}[/latex] is calculated by multiplying the constant [latex]\color{blue}\large\pi [/latex] to the square of the radius, [latex]\large{{\color{red}r}^2}[/latex]. By the way, the irrational number [latex]\large\pi [/latex] is the ratio of the circumference of a circle to its diameter which is approximately equal to [latex]3.1416[/latex] when rounded to four decimal places.

We prefer to use radius because it is convenient, that is, the formula is expressed in terms of radius. But it’s also good to know that we can use other inputs to find the area of a circle such as diameter and circumference.
First, let’s tweak the original formula to change the input variable from radius [latex]\large{r}[/latex] to diameter [latex]\large{d}[/latex].
Here’s the formula again:
[latex]\large{A = \pi {r^2}}[/latex]
Since the radius of a circle is half of its diameter, we have
[latex]\Large{r = {d \over 2}}[/latex]
Substituting [latex]\large{r}[/latex] into the formula above, we get
[latex]\Large{A = \pi {\left( {{d \over 2}} \right)^2}}[/latex]
Further simplifying, we obtain
[latex]\boxed{\Large{A = {{\pi {d^2}} \over 4}}}[/latex]
Now, we will proceed deriving another formula where the input variable is the circumference of the circle [latex]{C}[/latex].
Let’s begin by reviewing the formula for the circumference of the circle.
[latex]\large{C = 2\pi r}[/latex]
Rewrite [latex]r[/latex] in terms of [latex]C[/latex]. We can do that by dividing both sides by [latex]2\pi [/latex].
[latex]\large{r = \Large{{C \over {2\pi }}}}[/latex]
Back to the area of the circle formula, we plug in the expression for [latex]r[/latex] in terms of [latex]C[/latex].
[latex]\large{A = \pi {r^2}}[/latex]
[latex]\large{ = \pi {\left( {{C \over {2\pi }}} \right)^2}}[/latex]
[latex]\large{ = \Large{{{\pi \cdot {C^2}} \over {4{\pi ^2}}}}}[/latex]
[latex]\boxed{\large{A = {{{C^2}} \over {4\pi }}}}[/latex]
So, these are all of the formulas for finding the area of a circle.
Area of a Circle Formula

Examples of Finding the Area of Circle using its Radius
Example 1: What is the area of a circle with a radius [latex]4[/latex] inches?
As you might have guessed, this is a very straightforward problem. The measure of the radius is given to us which is [latex]\color{red}4[/latex] inches. The only thing we have to do is substitute the value of the radius into the formula then simplify.

Notice that in our answer above, we just kept the area in terms of [latex]\pi[/latex]. We did not multiply the number [latex]16[/latex] to the approximate numerical value of [latex]\pi[/latex], i.e. [latex]\pi = 3.14[/latex].
If you leave your answer as [latex]16\,\pi [/latex], you got it right since it is the exact value of the area. However, if you wish your answer as an approximation then you can multiply it through with the estimated value of [latex]\pi[/latex] which in this case we used [latex]\color{blue}3.14[/latex], rounded to two decimal places.

Therefore, the area of the circle is about [latex]50.24[/latex] square inches.
However, if you want a more precise value of the area, you can use the calculator’s internal value of [latex]\pi[/latex]. Usually, we can retrieve that by pressing a secondary key. In TI-84, you press the 2nd key followed by the caret key ^.


Now, rounding the answer to two decimal places, we have [latex]50.27[/latex] square inches.
Example 2: Find the area of a circle with a diameter of [latex]10[/latex] centimeters.
Here’s the deal. You are assumed to give your answer in terms of [latex]\pi[/latex] unless you are explicitly told to write the area as an approximation. If your teacher wants it to be an approximation, this is where you replace [latex]\pi[/latex] with some numerical value.
Now, let’s sketch a circle with a diameter [latex]10[/latex] cm.

To calculate the area of a circle, we will need the radius. However, we can easily figure out what the radius is if we know the diameter. The radius of a circle is half the diameter. Thus, [latex]{\Large{{10} \over 2}} = 5[/latex].

Plug in the value of the radius into the formula then simplify.

Therefore, the area of the circle is [latex]25\pi [/latex] square centimeters.
Example 3: Find the exact area of a circle whose diameter has endpoints [latex]\left( { – 7,2} \right)[/latex] and [latex]\left( {5,2} \right)[/latex].
Let’s plot the endpoints of the diameter. Draw a line segment connecting them and make sure it passes through the center.

Now, we want to find the diameter of the circle then divide it by [latex]2[/latex] to get the radius. In this situation, the diameter can be found easily by inspection. Since the endpoints of the diameter lie on the horizontal line [latex]y=2[/latex], the length of the diameter is the absolute value of the difference of the x-coordinates.
[latex]\left| { – 7 -5 } \right| = \left| { – 12} \right| = 12[/latex]
Because the diameter is [latex]12[/latex] units, its radius must be [latex]6[/latex] units. The only thing we have to do is substitute the value of the radius into the formula.

Therefore, the area of the circle is [latex]36\,\pi [/latex] square units.
Examples of Finding the Area of a Circle using its Diameter
In the following examples, we will use the version of the formula wherein the area of the circle is expressed in terms of diameter [latex]d[/latex].
Just to remind you, here’s the formula again that you can use to find the area when the diameter is known.

Example 4: Find the approximate area of a circle whose radius has a length of [latex]2.5[/latex] centimeters.
Note: Use [latex]\large{\pi} = 3.1416[/latex]. Round your final answer to two decimal places.
The radius of the circle is given. That means we can easily find the diameter by doubling it.

Plug the value of diameter into the formula to get the area.

Therefore, the area of the circle is about [latex]19.64[/latex] [latex]c{m^2}[/latex].
Example 5: Calculate the area of the circle below using radius [latex]r[/latex] and diameter [latex]d[/latex]. Compare your answers.
Note: Use [latex]\pi = 3.14[/latex]. Round your answer to the nearest hundredth.

In this problem, we are going to calculate the area of a circle in two ways, and then compare them to check if both answers agree.
Let’s first find the area using the formula that involves diameter [latex]d[/latex] as the input value.
The diameter is given which is [latex]d = 2.75[/latex]. Make sure to use [latex]\pi = 3.14[/latex] because that is the instruction of the problem.

Now, let’s find the area of the circle using the standard formula, that is, the input value is radius [latex]r[/latex]. Don’t forget to divide the diameter by [latex]2[/latex] to get the radius of the circle.

The two solutions yield the same answer which is about [latex]5.94[/latex] square yards.
Examples of Finding the Area of a Circle using its Circumference
We calculated the area of a circle using its radius or diameter in earlier examples. This time, we will calculate the area of a circle using its circumference.
Here’s the formula again to find the area if the circumference is given.

Example 6: Determine the area of a circle whose circumference is [latex]10[/latex] km.
Note: Use [latex]\pi = 3.14[/latex]. Round your answer to the nearest hundredth.
Let’s solve this problem in two ways. The first is to utilize the usual procedure, which entails first calculating the radius using the circumference formula, [latex]C = 2\pi r[/latex], then substituting the radius value into the standard formula for area, [latex]A = \pi {r^2}[/latex].
Then we will compare our answer using the direct route by simply substituting the value of the circumference into the formula [latex]A =\Large{ {{{C^2}} \over {4\pi }}}[/latex].
Usual procedure:
The formula for the circumference of a circle is
[latex]C = 2\pi r[/latex]
Since the circumference is [latex]10[/latex], the value for radius is

Now, substituting the value for radius into the area formula

Direct route:
Let’s plug in the value of the circumference directly into the formula.

We get the same answer using different methods. The area is about [latex]7.96[/latex] square km.
Example 7: Find the area of a circle with a circumference of [latex]1.06[/latex] miles. Express your answer in terms of square kilometers [latex]k{m^2}[/latex]. Use the conversion factor of [latex]1[/latex] mi. = [latex]1.6[/latex] km.
Note: Use [latex]\pi = 3.14[/latex]. Round your answer to the nearest hundredth.
Since we want our answer to be in square kilometers, let’s first convert our circumference from miles to kilometers.

Now we are ready to substitute the known values into the formula to calculate the area of the circle.
[latex]C = 1.696[/latex]
[latex]\pi = 3.14[/latex]
Don’t forget to round the area to two decimal places.

The area of the circle is about [latex]0.23[/latex] square kilometers.
Finding the Radius of a Circle using its Area
If we know the area of the circle, it is also possible to find the length of its radius. Let’s demonstrate that in the following example.
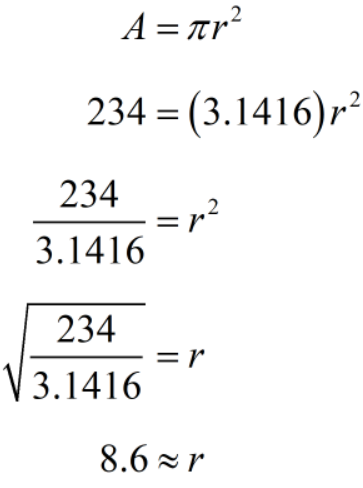
Example 8: What is the radius of a circle with an area of [latex]234[/latex] square inches [latex]i{n^2}[/latex]?
Note: Use [latex]\pi = 3.1416[/latex] and round your final answer to the nearest tenth.
Since we know the area, we can easily solve for the radius using the area formula that contains the radius.

We plug in the values for area and [latex]\pi[/latex]. To solve for [latex]\large{r}[/latex], we divide both sides by [latex]\pi[/latex] then take the square roots of both sides of the equation. Make sure that we don’t round off the intermediate calculations. Just the final answer.

Therefore, the radius is approximately [latex]8.6[/latex] inches.
Finding the Diameter of a Circle using its Area
Example 9: Determine the diameter of a circle with an area of [latex]18.27[/latex] square meters [latex]{m^2}[/latex].
Note: Use [latex]\pi = 3.1416[/latex] and round your answer to two decimal places.
We can use the formula the area of a circle wherein the input value is the diameter.

Substitute the value for the area then solve for the diameter.

Therefore, the diameter is the circle is about [latex]4.82[/latex] meters.
You might also like these tutorials: