Log Rules Practice Problems with Answers
Use the exercise below to practice your skills in applying Log Rules. There are ten (10) problems of various difficulty levels to challenge you. Have fun!
Problem 1: Simplify [latex]{\log _2}16 + {\log _2}32[/latex]
Answer
[latex]\color{red}9[/latex]
Problem 2: Simplify [latex]{\log _3}81 – {\log _3}9[/latex]
Answer
[latex]\color{red}2[/latex]
Problem 3: Simplify [latex]{\log _2}\left( {{1 \over 8}} \right) + {\log _3}\left( {{1 \over 9}} \right)[/latex]
Answer
[latex]\color{red}-5[/latex]
Problem 4: Simplify [latex]{\log _3}729 – 2\log_3 {3^3} + {\log _4}16 + 2{\log _4}2[/latex]
Answer
[latex]\color{red}3[/latex]
Problem 5: Simplify [latex]\large{{1 \over 2}\,{\log _2}\,{4^8} – {2 \over 3}\,{\log _3}\,{27^9}}[/latex]
Answer
[latex]\color{red}-10[/latex]
Problem 6: Use the rules of logarithms to condense the expression below as a single logarithmic expression.

Answer
[latex]\large{\color{red}{\log _2}\left( {{2 \over {{m^2}}}} \right)}[/latex]
Problem 7: Use the rules of logarithms to write the expression below as a single logarithm.

Answer
[latex]\color{red}{\log _3}\left( {16x} \right)[/latex]
Problem 8: Use the rules of logarithms to write the expression below as a single logarithm.

Answer
[latex]\color{red}\log \left( {10{y^2}} \right)[/latex]
Problem 9: Use the rules of logarithms to expand the expression below.
![log base 2 [ 24 * (k+2)^3 ]](https://www.chilimath.com/wp-content/uploads/2022/05/log-rules-example-9.png)
Answer
[latex]\color{red}3 + {\log _2}\left( 3 \right) + 3{\log _2}\left( {k + 2} \right)[/latex]
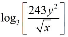
Problem 10: Use the rules of logarithms to expand the expression below.

Answer
[latex]\color{red}5 + 2{\log _3}\left( y \right) – {1 \over 2}{\log _3}\left( x \right)[/latex]
You might also like these tutorials:
- Logarithm Rules
- Expanding Logarithms
- Condensing Logarithms
- Proofs of Logarithm Properties
- Solving Logarithmic Equations