Age Word Problems
Every now and then, we encounter word problems that require us to find the relationship between the ages of different people. Age word problems typically involve comparing two people’s ages at different points in time, i.e. at present, in the past, or in the future.
This lesson is divided into two parts. Part I involves age word problems that can be solved using a single variable while Part II contains age word problems that need to be solved using two variables.
Let’s get familiar with age word problems by working through some examples.
PART I: Age Word Problems Solvable with One Variable
Example 1: Tanya is 28 years older than Marcus. In 6 years, Tanya will be three times as old as Marcus. How old is Tanya now?
In this problem, we are only asked to find Tanya’s current age. However, the problem also gave us a lot of other information which can be overwhelming. To help us organize the important details, let’s create a table to list what we know so far.
Since we are only given details about their current ages and what they will be 6 years from now, we’ll go ahead and gray out the Past column.

You may notice that Tanya’s current age is defined using the age of Marcus. However, Marcus’s present age is currently unknown. So let’s express Marcus’s age using the variable [latex]x[/latex]. Since Tanya is 28 years older than Marcus, then Tanya’s present age must be [latex]x+28[/latex].

Next, let’s fill in the Future column which will consist of their ages in 6 years. All we have to do is add 6 to Tanya and Marcus’s present or current ages. Therefore, we have:
- Tanya: [latex]\left( {x + 28} \right) {\color{red}+ 6} = x + 34[/latex]
- Marcus: [latex]x {\color{red}+ 6}[/latex]

Now that our table is filled out, we can go ahead and create our equation based on the information provided. The problem states the following:
In 6 years, Tanya will be three times as old as Marcus.
Here we are trying to find the relationship between their ages in the future. We can simply say that,
Tanya’s age in 6 years = 3(Marcus’s age in 6 years)
With that in mind, we can easily construct our equation.

Our next step now is to solve for [latex]x[/latex]. But before that, remember that our problem is asking us to find Tanya’s current age. Since Tanya’s age is defined using Marcus’s current age (which is [latex]x[/latex]), we have to find his age first in order to determine what Tanya’s present age is.
Solution:

Now that we have the value for [latex]x[/latex], let’s find out what Tanya and Marcus’s current ages are. We can do this by simply replacing the [latex]x[/latex]’s with [latex]8[/latex].
CURRENT AGES (present)
- Marcus: [latex]x = {\textbf{8}}[/latex] years old
- Tanya: [latex]x + 28 = {\color{red}8} + 28 = {\textbf{36}}[/latex] years old
Going back to the problem’s question, how old is Tanya now?
Answer: Tanya is 36 years old.
Answer Check:
At this point, we are confident that our answer is correct. But, how can we be 100% sure? Well, it’s always a good idea especially in math, to check our answers so we’re certain that we got the correct values.
For this problem, we can simply verify if our answer makes our future statement true. Do you remember this statement?
In 6 years, Tanya will be three times as old as Marcus.
We know the present ages of Marcus and Tanya which are [latex]8[/latex] and [latex]36[/latex], respectively. Hence in 6 years, Marcus will be [latex]14[/latex] years old while Tanya will be [latex]42[/latex] years old.
So, will Tanya be three times as old as Marcus in 6 years? The answer is Yes.

Example 2: Bruce is 4 years younger than Hector. Twenty years ago, Hector’s age was 13 years more than half the age of Bruce. How old are they now?
By just reading the problem, we can already tell that there is a great deal of information that we have to sort through and that this problem includes a fraction. Most students easily get lost in all the given information, let alone solving equations that involve fractions. But, don’t fret! As long as you stick with the basic principles and steps on how to solve age word problems, you’ll be fine.
Right now, we don’t know Bruce or Hector’s current age. But since Bruce’s age is expressed in relation to Hector’s age, then our unknown variable will be based on Hector’s age. In other words,
- Let [latex]{\textbf{\textit{h}}} =[/latex] Hector’s age
- [latex]{\textbf{\textit{h} – 4}} =[/latex] Bruce’s age, since he is 4 years younger than Hector
Let’s organize all these important data into a table. We’re only given details about their present and past (20 years ago) ages so we’ll gray out the Future column.

Twenty years ago, both Bruce and Hector were 20 years younger so we’ll subtract 20 from each of their present ages.
- Bruce: [latex]\left( {h – 4} \right) {\color{red}- 20} = h – 24[/latex]
- Hector: [latex]h {\color{red}- 20}[/latex]

Our table is now ready so we can proceed to create our equation. As you can see under the Past column, we were able to create algebraic expressions for Bruce and Hector’s ages 20 years ago. But our problem also told us that,
Twenty years ago, Hector’s age was 13 years more than half the age of Bruce.
Since Hector’s age 20 years ago is also 13 years more than half of Bruce’s age, we can take these two algebraic expressions and set them equal to each other, to create an equation.
Hector’s age 20 years ago = [latex]\Large{1 \over 2}[/latex](Bruce’s age 20 years ago)[latex]+ 13[/latex]

We’re now ready to solve for the unknown variable, [latex]h[/latex].
Solution:

Therefore, Hector’s present age is [latex]{\textbf{42}}[/latex] years old.
On the other hand, you may recall that Bruce’s current age is: [latex]h – 4[/latex]. Since [latex]h = 42[/latex], then Bruce’s current age is [latex]42 – 4 = {\textbf{38}}[/latex].
So, how old are they now?
Answer: Hector is 42 years old and Bruce is 38 years old.
The final step is to check our answers by substituting the unknown values into our original equation to verify if each side of the equation equals the other.
Answer Check:

Great! Our answer checks. This just showed us that if we take Bruce’s age twenty years ago, which is 18, and divide it in half, we get 9. Adding 13 to that ([latex]9 + 13[/latex]), we get 22 which was Hector’s age twenty years ago.
Therefore, we are able to confirm that twenty years ago when Hector was 22 years old and Bruce was 18 years old, Hector’s age was 13 years more than half the age of Bruce.
Example 3: Stella is 13 years younger than Kwame. Nine years from now, the sum of their ages will be 43. Find the present age of each.
This problem is a little different from our previous two examples as we are given the sum of their ages in 9 years. But right off the bat, we can see that Stella’s age is defined in terms of Kwame’s age. Therefore, we’ll select a variable to represent Kwame’s current age. In this instance, let’s use “[latex]k[/latex]”.
- Let [latex]{\textbf{\textit{k}}} =[/latex] Kwame’s age
- [latex]{\textbf{\textit{k} – 13}} =[/latex] Stella’s age, since she is 13 years younger than Kwame

Nine years from now, both Kwame and Stella will be 9 years older. So we’ll simply add 9 to their present ages above to show their future ages.
- Kwame: [latex]k {\color{red}+ 9}[/latex]
- Stella: [latex]\left( {k – 13} \right) {\color{red}+ 9} = k – 4[/latex]
Let’s complete our table.

Now that we have the algebraic expressions for both their ages in 9 years, we can add these expressions to create our equation. We were given the following details:
Nine years from now, the sum of their ages will be 43.
Solution:
So we have,

Checking back at our table, [latex]k[/latex] stands for Kwame’s age. But since our problem asked us to find the current ages for both, let’s do a little bit more solving.
CURRENT AGES (present)
- Kwame: [latex]k = {\textbf{19}}[/latex] years old
- Stella: [latex]k – 13 = {\color{red}19} – 13 = {\textbf{6}}[/latex] years old
Answer: Kwame is 19 years old and Stella is 6 years old.
Answer Check:
Let’s now verify if indeed the sum of Kwame and Stella’s ages in 9 years will be 43.
- Kwame’s age in 9 years: [latex]k + 9 = {\color{red}19} + 9 = {\textbf{28}}[/latex]
- Stella’s age in 9 years: [latex]k – 4 = {\color{red}19} – 4 = {\textbf{15}}[/latex]

Perfect! The total of their ages nine years from now is 43 so our answers are correct.
Example 4: Mr. Cook is 34 years old. His son is 22 years younger than him. In how many years will Mr. Cook’s age be 24 years less than three times as old as his son?
We already know their current ages, so before we delve any further, let’s start filling in our table.

Note that since the son is 22 years younger than Mr. Cook, we subtracted 22 from 34 to get his son’s current age, [latex]34 – {\color{red}22} = 12[/latex].
This problem is unique because it’s not asking us for their ages at a certain point in time like usual. Instead, it asks us to find out the number of years when Mr. Cook’s age will meet a certain relationship with his son’s age in the future.
But at this point, we don’t know how long it will take for Mr. Cook to be 24 years less than three times as old as his son. So, let’s assign the unknown variable “[latex]x[/latex]” to stand for the number of years then add [latex]x[/latex] to both of their current ages to create algebraic expressions that will represent how old they will be after [latex]x[/latex] years.

Since Mr. Cook’s age after [latex]x[/latex] number of years ([latex]x + 34[/latex]) will also be 24 years less than three times as old as his son, we can set these two algebraic expressions equal to each other, thus creating our equation.

Now that we have our equation, let’s solve for [latex]x[/latex].
Solution:

As you may recall, [latex]x[/latex] stands for the number of years from now that will take for Mr. Cook to be 24 years less than three times as old as his son. Therefore,
Answer: In 11 years, Mr. Cook’s age will be 24 years less than three times as old as his son.
Answer Check:
To check if our answer is correct, we must first find out how old will Mr. Cook and his son be in 11 years. Substituting the value of [latex]x[/latex] which is 11 into our algebraic expressions, we get:
- Mr. Cooks’s age in 11 years: [latex]x + 34 = {\color{red}11} + 34 = {\textbf{45}}[/latex]
- Son’s age in 11 years: [latex]x + 12 = {\color{red}11} + 12 = {\textbf{23}}[/latex]
So in 11 years, Mr. Cook will be 45 years old while his son will be 23 years old.
This time, I’ll leave it up to you to verify if indeed during that time, his age of 45 years old will be 24 years less than three times as old as his son. If it meets the condition, then our answer is correct.
Example 5: The sum of one-fifth of Annika’s age four years ago and half of her age in six years is 33. How old is she now?
Compared to our previous exercises, this problem only involves one person. Also, instead of comparing the ages of two people at a certain point in time, we will be comparing Annika’s ages at different points in time, i.e. 4 years ago and in 6 years.
We don’t know Annika’s current age so let’s select the variable [latex]{\textbf{\textit{a}}}[/latex] to represent this unknown value. We’ll use this variable as well to create algebraic expressions that will stand for her past and future ages.
- Let [latex]{\textbf{\textit{a}}} =[/latex] Annika’s current age
- [latex]{\textbf{\textit{a} – 4}} =[/latex] Annika’s age 4 years ago
- [latex]{\textbf{\textit{a} + 6}} =[/latex] Annika’s age 6 years from now

Our problem also told us that if we add [latex]\Large{1 \over 5}[/latex] of Annika’s age 4 years ago and [latex]\Large{1 \over 2}[/latex] of her age 6 years from now, the sum is 33.
With this information, it’s easy for us to write our equation.

Our next step is to solve for the unknown variable, [latex]a[/latex].
Solution:

So, how old is Annika now?
Answer: Annika is currently 44 years old.
Answer Check:
As I mentioned before, it’s always a good practice to verify if you got the correct answer. To start, let’s find out what Annika’s past and future ages are.
- Annika’s age 4 years ago: [latex]a – 4 = {\color{red}44} – 4 = {\textbf{40}}[/latex]
- Annika’s age 6 years from now: [latex]a + 6 = {\color{red}44} + 6 = {\textbf{50}}[/latex]
Now that we know how old she was 4 years ago and how old she’ll be in 6 years, we’ll plug in these values into our original equation to see if both sides of the equation equal each other.

And they did! We were able to prove that the sum of [latex]\Large{1 \over 5}[/latex] of Annika’s age 4 years ago and [latex]\Large{1 \over 2}[/latex] of her age 6 years from now is indeed 33.
PART II: Age Word Problems Solvable with Two Variables
Example 6: The sum of Aaliyah and Harald’s ages is 28. Four years from now, Aaliyah will be three times as old as Harald. Find their present ages.
Neither Aaliyah nor Harald’s age is expressed in terms of the other. So for this problem, we will be using more than one variable to represent the unknown values. To start,
- Let [latex]{\textbf{\textit{a}}}[/latex] be Aaliyah’s age
- Let [latex]{\textbf{\textit{h}}}[/latex] be Harald’s age
Since they will be 4 years older in the next 4 years, we simply have to add 4 to their current ages to represent their future ages.

Looking back at our problem, there are two significant statements that can help us find our answers.
1) The sum of Aaliyah and Harald’s ages is 28.
From this statement, we can create the equation below:

2) Four years from now, Aaliyah will be three times as old as Harald.
Meanwhile, the statement above can be translated into the following equation:

We now have two equations to solve.
- Equation 1: [latex]a + h = 28[/latex]
- Equation 2: [latex]a + 4 = 3(h + 4)[/latex]
First, we’ll use equation 1 to solve for [latex]a[/latex].

Next, we’ll replace [latex]a[/latex] with [latex]28 – h[/latex] in equation 2.

Perfect! We are able to find the values for both our unknown variables, [latex]a[/latex] and [latex]h[/latex], which also stand for the present ages for Aaliyah and Harald. So we have,
- Aaliyah’s present age: [latex]a = 28 – h = 28 – {\color{red}5} = {\textbf{23}}[/latex]
- Harald’s present age: [latex]h = {\textbf{5}}[/latex]
Answer: Currently, Aaliyah is 23 years old while Harald is 5 years old.
Answer Check:
I’ll leave it up to you to check if our answers are correct. But as you can see, even with just using mental computation, we can already tell that the sum of Aaliyah and Harald’s ages is 28 ([latex]23 + 5 = 28[/latex]) which makes our first statement true. You may further check our answers by plugging in the values of [latex]a[/latex] and [latex]h[/latex] into equation 2 to verify if the left side of the equation equals the right, thus making our second statement true as well.
Example 7: The sum of the ages of Jaya and Nadia is three times Nadia’s age. Seven years ago, Jaya was three less than four times as old as Nadia. How old are they now?
This problem is similar to our previous example. However, for this one, we are not given the exact number for the sum. We first have to find out each of their current ages so we can determine what the sum is.
- Let [latex]{\textbf{\textit{y}}}[/latex] be Jaya’s age
- Let [latex]{\textbf{\textit{n}}}[/latex] be Nadia’s age
We then need to subtract 7 from their current ages to represent how old they were seven years ago.

Now that we’ve organized our data, let’s go through the significant statements given in our problem and translate each into an equation.
1) The sum of the ages of Jaya and Nadia is three times Nadia’s age.

2) Seven years ago, Jaya was three less than four times as old as Nadia.

Therefore, our two equations are:
- Equation 1: [latex]y + n = 3n[/latex]
- Equation 2: [latex]y – 7 = 4(n – 7) – 3[/latex]
Let’s first focus on equation 1 and solve for [latex]y[/latex].

Now we’ll solve for [latex]n[/latex] using the value of [latex]y[/latex] from equation 1. We’ll do this by replacing [latex]y[/latex] with [latex]2n[/latex] in equation 2.

Taking the values of [latex]y[/latex] and [latex]n[/latex], we have:
- Jaya’s present age: [latex]y = 2n = 2({\color{red}12}) = {\textbf{24}}[/latex]
- Nadia’s present age: [latex]n = {\textbf{12}}[/latex]
So, going back to our problem. How old are they now?
Answer: Jaya is 24 years old and Nadia is 12 years old.
Answer Check:
To check our answers, we’ll replace the values of [latex]y[/latex] and [latex]n[/latex] in equation 1 and equation 2. Again, I’ll leave it up to you to solve both equations and verify if each side of the equation equals the other. Once you’re done with your solutions, you’ll see that we are able to prove that both statements from our problem are true.
Example 8: The difference between the ages of Penelope and her son, Zack, is 34. In six years, Penelope will be four times as old as Zack’s age two years ago. How old are they now?
It’s easy to get lost in all the information given so we’ll focus first on assigning variables that will stand for the unknown values.
- Let [latex]{\textbf{\textit{p}}}[/latex] be Penelope’s current age
- Let [latex]{\textbf{\textit{z}}}[/latex] be Zack’s current age
One thing that’s unique about this problem is that it involves three different points in time. We are given not only the relationship between Penelope and her son’s age in the present time but also how their ages in 6 years are related to their ages two years ago.
To show this, we’ll subtract 2 from their ages now for their ages 2 years ago then add 6 to their current ages for their ages 6 years later.

Great! We now have variables and algebraic expressions to represent Penelope and Zack’s current ages as well as their ages in the past and in the future. Moving forward, let’s go through the important details given in the problem and create an equation from each statement.
1) The difference between the ages of Penelope and her son, Zack, is 34.
Remember that Penelope is Zack’s mother so she’s definitely older than him. Therefore, we are subtracting Zack’s age from Penelope’s age to find the difference.

2) In six years, Penelope will be four times as old as Zack’s age two years ago.

Here are our two equations:
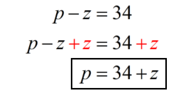
- Equation 1: [latex]p – z = 34[/latex]
- Equation 2: [latex]p + 6 = 4(z – 2)[/latex]
Let’s now work on equation 1 to solve for [latex]p[/latex].

Next, we’ll replace [latex]p[/latex] with [latex]34 + z[/latex] in equation 2 then solve for [latex]z[/latex].

So we have,
- Penelope’s current age: [latex]p = 34 + z = 34 + ({\color{red}16}) = {\textbf{50}}[/latex]
- Zack’s current age: [latex]z = {\textbf{16}}[/latex]
How about we replace the unknown values in our table and also find out what their past and future ages are?

Going back to our original question, how old are they now?
Answer: Penelope is currently 50 years old while her son, Zack, is 16 years old.