How to Solve Tough Absolute Value Equations
In our previous encounter of solving absolute value equations, we dealt with the easy case because the problems involved can be solved in a very straightforward manner.
In tough absolute value equations, I hope you notice that there are two absolute value expressions with different arguments on one side of the equation and a constant on the other side. This should prompt you immediately that you’re dealing with a different class of animals.

General Guidelines Needed to Solve “Tough” Absolute Value Equations
- Write the positive and negative case for each absolute value expression. In other words, convert the absolute value equation into two (2) piecewise functions.

- Draw a number line with two (2) boundary points coming from step #1
- Using the two boundary points, establish three (3) cases. Suppose the two boundary points in the number line are [latex]\large{a}[/latex] and [latex]\large{b}[/latex] written in ascending order. The three cases are:
Case 1: [latex]\large{x < a}[/latex]
Case 2: [latex]\large{a \le x < b}[/latex]
Case 3: [latex]\large{x \ge b}[/latex]

- With three cases, you should come up with three equations to solve.
- When setting up each equation, let the case you are in guide you to decide which one you are going to use: the positive or negative version. This step will become clearer during the actual solving of an example. Trust me, it’s not so bad.
- Finally, after you solved each equation, make sure to check your answer by verifying if your solution falls within the interval that you’re working on, otherwise it is NOT a solution – therefore declare it as an extraneous solution.
By going over three (3) examples, I am sure that at the end of the day solving these “tough” absolute value equations will be second nature to you!
Examples of Solving “Tough” Absolute Value Equations
Example 1: Solve the absolute equation by cases.
[latex]\left| {3x – 2} \right| + \left| {x – 2} \right| = 12[/latex]
Let’s write each absolute value expression in piecewise form.
This is for the first absolute value expression:

And, this is for the second absolute value expression.

Observe that the boundary points are [latex]\large{{2 \over 3}}[/latex] and [latex]2[/latex]. You can obtain the boundary points from the piecewise functions of the absolute value expressions.
Using a number line, we set up our different cases.

Now, we have all our information to set up and solve our equations. Let’s write again our original problem.
[latex]{\large{\left| {3x – 2} \right| + \left| {x – 2} \right| = 12}}[/latex]
For Case 1: We want our solution to fall in the interval [latex]{\large{x}} <{ \Large{{2 \over 3}}}[/latex]. That means we will use the negative version of the first absolute value expression (red). You should be able to read this out easily from the piecewise function.
As for the second absolute value expression, we will also use the negative version (red) because the interval [latex]x < 2[/latex] overlaps with our target interval [latex]{\large{x}} <{ \Large{{2 \over 3}}}[/latex]. We can’t say the same thing with the other interval [latex]x \ge 2[/latex] because it goes the opposite direction.
Now, we can set up the equation then solve it.

After we arrived at an answer, we check its validity if it falls within Case 1 interval.

Since [latex]x = – 2[/latex] is found in the interval [latex]{\large{x}} <{ \Large{{2 \over 3}}}[/latex], then [latex]\boxed{x = – 2}[/latex] is a solution!
For Case 2: We want our solution to be in the interval [latex]{\Large{{2 \over 3}}} \le x < 2[/latex]. Since we want [latex]{\large{x}} \ge {\Large{{2 \over 3}}}[/latex], we must use the positive version of the first absolute value expression (blue). In addition, we want [latex]x < 2[/latex] therefore we must use the negative version of the second absolute expression (red).
Let’s set up the equation in question then solve.

Is the answer [latex]x=6[/latex] in the Case 2 interval?

No! [latex]6[/latex] is not found between [latex]2/6[/latex] and [latex]2[/latex]. In other words, since [latex]x=6[/latex] is outside the interval then consider the answer as an extraneous solution.
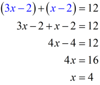
For Case 3: We want our solution to be [latex]x \ge 2[/latex]. That means we will use the positive version of the second absolute value expression (blue). The interval that overlaps [latex]x \ge 2[/latex] is [latex]x \ge{\large{ {2 \over 3}}}[/latex] which is the positive version of the first absolute value expression (blue).
Let’s set up the equation then solve.

Does our answer fall within Case 3 interval?

Yes! [latex]4[/latex] is greater than [latex]2[/latex]. Therefore, [latex]\boxed{x=4}[/latex] is a solution.
The final solutions are [latex]-2[/latex] and [latex]4[/latex].
Example 2: Solve the absolute value equation by cases.
[latex]\left| {x – {\Large{{1 \over 2}}}} \right| – \left| {{\Large{{1 \over 2}}}x + 3} \right| = 8[/latex]
Express each absolute value expression as piecewise functions.
For the first absolute value expression:

For the second absolute value expression:

We can set up our cases using the piecewise functions above.

For Case 1: We want [latex]x < – 6[/latex]. It is obvious that we will use the negative version of the second absolute value expression (red). Now for the first absolute value expression, which of the two are we going to use? One has an interval of [latex]x \ge{\Large{ {1 \over 2}}}[/latex] and the other of [latex]x < {\Large{{1 \over 2}}}[/latex]? Which of the two contains [latex]x < – 6[/latex]? Clearly, the one with the interval [latex]x < {\Large{{1 \over 2}}}[/latex]. This is the negative version of the first absolute value expression (red).
Setting up the equation then solving:

Is [latex]x=-9[/latex] found in the interval [latex]x < – 6[/latex]? Yes! So, [latex]\boxed{x=-9}[/latex] is a solution.
For Case 2: We want our solution to be in the interval [latex] – 6 \le x <{\Large{ {1 \over 2}}}[/latex]. If you look at the piecewise functions above, it is very easy to extract the information that we will have to use the negative version of the first absolute value expression (red); and the positive version of the second absolute value expression (blue).
Solving the equation, we have:

Does [latex]x=-7[/latex] fall within the interval [latex] – 6 \le x <{\Large{ {1 \over 2}}}[/latex]? The answer is no! So, we disregard [latex]x=-7[/latex] as a solution.
Case 3: We want our solution to be in the interval [latex]x \ge {\Large{{1 \over 2}}}[/latex]. It is very obvious that we will use the positive version of the first absolute value expression. Now for the second absolute value expression, we have two options:
- [latex]x \ge – 6[/latex]
- [latex]x < – 6[/latex]
Which one will coincide with [latex]x \ge {\Large{{1 \over 2}}}[/latex]? If you said the first one, you’re right! That means we will use the first version of the second absolute expression (blue).
We set up the equation and then solve.

Since [latex]x=23[/latex] is found in the interval [latex]x \ge {\Large{{1 \over 2}}}[/latex], then [latex]\boxed{x=23}[/latex] is a solution!
Therefore, the final answers are [latex]-9[/latex] and [latex]23[/latex] .
Example 3: Solve the absolute value equation by cases.
[latex]\left| {4x – 2} \right| + \left| {x + 4} \right| = 12[/latex]
We will use shortcuts to solve this problem. Let’s first write the piecewise functions and the cases.
First absolute value expression:

Second absolute value expression:

Using the piecewise functions, we can set up the cases below:

Case 1: For this case, we want our solution to be in the interval [latex]x < – 4[/latex].
Here’s the shortcut. For Case 1, both are always negative!

Since [latex]x=-2.4[/latex] is not in our target interval [latex]x < – 4[/latex], then we disregard [latex]x=-2.4[/latex] as a solution!
Case 2: We want our solution to be in the interval [latex] – 4 \le x < \large{{1 \over 2}}[/latex].
The trick for Case 2 is that they have different signs. If one is positive, the other is negative. In other words, just look for one, then the other one is just the “opposite”.
If you look at the interval of Case 2, we want [latex]x \ge – 4[/latex]. It means we will use the positive version of the second absolute value (blue). This also implies that we will have to use the negative version of the first absolute value (red).
So here’s the equation to solve:

Since [latex]x=-2[/latex] is found in the interval [latex] – 4 \le x < \large{{1 \over 2}}[/latex], then [latex]\boxed{x=-2}[/latex] is a solution!
Case 3: For this case, we want our solution to be in the interval [latex]x \ge \Large{{1 \over 2}}[/latex].
Here’s the shortcut. For Case 3, both are always positive!

Since [latex]x=2[/latex] is found in the interval [latex]x \ge \Large{{1 \over 2}}[/latex], then [latex]\boxed{x=2}[/latex] is a solution!
Therefore, our final answers are [latex]-2[/latex] and [latex]2[/latex].
You might also like these tutorials: